
南方TD管道循環泵
南方管道循環泵TD80+54G/2SWHC單級立式離心泵 冷熱循環水泵
南方管道循環泵應用領域:
工業系統、供水系統、冷卻和空調系統、系統增壓
材質:
鑄鐵、雙相鋼
南方管道循環泵產品說明:
單級立式管道循環泵,泵進出水口在泵底同一直線上,產品設計為頂部可拉出的拆裝形式,其可以在不影響管路系統的情況下對泵進行維修。
南方管道循環泵性能及優點:
結構緊湊、維護方便、噪音低、可選配鑄鐵或不銹鋼葉輪
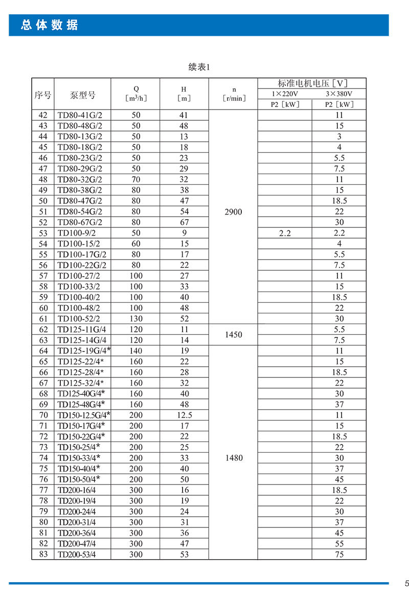
南方管道循環泵技術參數:
流量:4m3/h~1200m3/h
揚程:4.5m~108m
功率:1.1kW~200kW
液體溫度:-15℃~+110℃
頻率:50Hz/60Hz







